Обзор: Пища ангелов не обходится без
Пища ангелов не обходится без гидротартрата калия, а пища дьявола — без амаранта.


Гидротартра́т ка́лия — органическое соединение, кислая соль калия и винной кислоты с формулой KC4H5O6, бесцветные кристаллы, слабо растворяется в воде, имеет оптические изомеры.
«Пища дьявола» — популярный американский шоколадный торт. Является, в некотором смысле, противоположностью светлому торту «Пища ангелов».
«Пища ангелов», или ангельский бисквит (англ. angel food cake, angel cake), — разновидность бисквита из яичных белков, муки и сахара; в отличие от других видов бисквита не содержит жиров и яичных желтков.
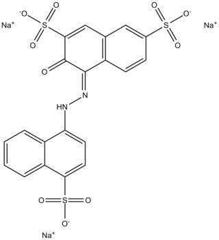
Амарант (тринатрий 3-гидрокси-4-(4-сульфонато-1-нафтилазо)-2,7-нафталиндисульфонат) — органическое соединение с химической формулой C20H11N2Na3O10S3, азокраситель тёмно-красного цвета. Применяется в качестве пищевого и косметического красителей, входит в Кодекс Алиментариус под кодом E123. Был запрещён в СССР с 1971 года и в 1976 году в США Управлением по контролю качества пищевых продуктов и лекарственных средств (FDA) по подозрению в канцерогенности.
Теги: Пища ангелов Гидротартрат калия Пища дьявола Амарант (краситель) Пища ангелов обходится без без